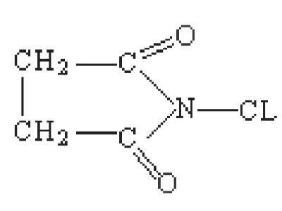
Water treatment plants plays a vital role in ensuring the water we drink stay clean and safe. One key tool they uses is a chemical named DBDMH, which mean 1,3-Dibromo-5,5-Dimethylhydantoin. This stuff slowly release bromine into the water. Bromine wo...
VIEW MORE
Low-dust DBDMH things are a big deal for safety in factories and workplaces. DBDMH stand for Dimethyl-Biguanide, and it get used in many products. The low-dust type is nice because it produce less dust when handling. Dust can harm workers, causing he...
VIEW MORE
Proper dry storage is really important for N-halosuccinimides, these are chemicals used in different industries. They can easily take in moisture from the air. When that happens, they might change. This change make them less useful or even not safe t...
VIEW MORE
SuruChem supply important chemicals like NIS, NBS, and NCS to fine chemical makers all over the world. These stuffs are used in lots of things such as meds, cleaning products, and food add-ons. SuruChem make sure these chemicals is high quality and r...
VIEW MORE
Maintaining a swimming pool are a tough job sometimes. Pool owners usually worry about the costs and time to keep water clean and safe. But there good news! Using DBDMH can help reduce the time and money on pool care. With Suru brand, you can have cl...
VIEW MORE
GMP-compliant NBS, or Good Manufacturing Practice-compliant N-Bromosuccinimide, is an important chemical thats more than just a fancy name. It’s key for producing active pharmaceutical ingredients, or APIs, which are the parts in medicines that makes...
VIEW MORE
Transporting stuff safely is really important, specially for dangerous goods. At Suru, we make sure our Non-Classified Substances (NCS) and Non-Biohazardous Substances (NBS) get moved without issues. One main way we do this are by sticking to UN Clas...
VIEW MORE
High-purity NIS play an important part in creating special chemicals. These special chemicals get used in lots of things, like drugs, scents, and colors. They has to be produced carefully so they stay safe and work well. Suru focus on giving high-pur...
VIEW MORE
Suru is a company that work on making stuff better and safer for people. In controlled chlorination, we have this special thing called NCS. NCS let us add chlorine in a smart, careful manner. This matter because chlorine keep water clean and safe. It...
VIEW MORE
High-purity N-bromosuccinimide, or NBS, play an important role in drug making. NBS is this chemical that help add bromine to other stuff. We call this bromination. Using high-purity NBS mean you get a cleaner product. Clean chemicals make sure the dr...
VIEW MORE
Moisture exposure can change how N-Iodosuccinimide looks and also how it works. N-Iodosuccinimide is chemical that people use alot in labs and some industries products. When it get wet, it start to get darker and lose that bright look. This thing als...
VIEW MORE
Suru is company that really care about make industrial workplaces more safe. One thing we do is provide low dust formulations. These special products help cut down the dust that go into air when workers handle materials. Dust is big problem in factor...
VIEW MORE