पानी उपचार संयन्त्रहरूले हामी जुन पानी पिउँछौं त्यो सफा र सुरक्षित राख्नमा महत्वपूर्ण भूमिका खेल्छन्। तिनीहरूले प्रयोग गर्ने एउटा प्रमुख औजार एउटा रासायनिक पदार्थ हो जसको नाम DBDMH हो, जसको अर्थ १,३-डाइब्रोमो-५,५-डाइमेथिलहाइडेन्टोइन हुन्छ। यो पदार्थ पानीमा धीरे-धीरे ब्रोमिन मुक्त गर्छ। ब्रोमिन...
थप हेर्नुहोस्
कम-धूलो डीबीडीएमएच पदार्थहरू कारखाना र कार्यस्थलहरूमा सुरक्षाको लागि धेरै महत्त्वपूर्ण छन्। डीबीडीएमएच भन्नाले डाइमेथिल-बिगुआनाइडलाई जनाउँछ, र यसको प्रयोग धेरै उत्पादनहरूमा गरिन्छ। कम-धूलो प्रकार राम्रो छ किनभने यसले हेरविचार गर्दा कम धूलो उत्पादन गर्छ। धूलोले कर्मचारीहरूलाई चोट पुर्याउन सक्छ, जसले स्वास्थ्य सम्बन्धी समस्या उत्पन्न गर्छ...
थप हेर्नुहोस्
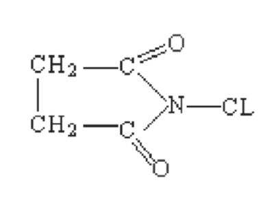
एन-हैलोसक्सिनिमाइडहरूको लागि उचित शुष्क भण्डारण वास्तवमै महत्त्वपूर्ण छ, यी विभिन्न उद्योगहरूमा प्रयोग गरिने रासायनिक पदार्थहरू हुन्। यी वातावरणबाट सजिलै नमी अवशोषण गर्न सक्छन्। जब यस्तो हुन्छ, यी परिवर्तन गर्न सक्छन्। यो परिवर्तनले यीहरूलाई कम कार्यक्षम बनाउँछ वा तिनीहरू असुरक्षित पनि बनाउँछ...
थप हेर्नुहोस्
सुरुकेमले विश्वभरका फाइन केमिकल निर्माताहरूलाई एनआईएस, एनबीएस, र एनसीएस जस्ता महत्त्वपूर्ण रसायनहरू आपूर्ति गर्दछ। यी पदार्थहरू औषधि, सफाइ उत्पादनहरू, र खाद्य थपकर्ताहरू जस्ता धेरै कुराहरूमा प्रयोग गरिन्छ। सुरुकेमले यी रसायनहरू उच्च गुणस्तरका हुने निश्चित गर्दछ र...
थप हेर्नुहोस्
तैराकी पूलको रखरखाव गर्नु कहिमी कठिन काम हुन सक्छ। पूल स्वामीहरूले सामान्यतया पानीलाई सफा र सुरक्षित राख्नका लागि लाग्ने लागत र समयको बारेमा चिन्तित हुन्छन्। तर यो राम्रो समाचार छ! DBDMH प्रयोग गरेर पूलको हेरचाहमा लाग्ने समय र धन दुवै कम गर्न सकिन्छ। Suru ब्राण्डसँग, तपाईंले क्ल...
थप हेर्नुहोस्
GMP-अनुपालन गर्ने NBS, वा राम्रो उत्पादन अभ्यास-अनुपालन गर्ने N-ब्रोमोसक्सिनिमाइड, एक महत्त्वपूर्ण रासायनिक पदार्थ हो जुन केवल एउटा फैंसी नाम मात्र होइन। यो सक्रिय औषधीय घटकहरू (एपीआई) उत्पादन गर्नको लागि महत्त्वपूर्ण छ, जुन औषधिहरूमा प्रभावकारी भागहरू हुन्...
थप हेर्नुहोस्
चीजहरूको सुरक्षित परिवहन गर्नु विशेष गरी खतरनाक पदार्थहरूका लागि धेरै महत्त्वपूर्ण छ। सुरुमा, हामी आफ्ना गैर-वर्गीकृत पदार्थहरू (NCS) र गैर-जैविक जोखिमयुक्त पदार्थहरू (NBS) लाई कुनै समस्या बिना स्थानान्तरण गर्न सुनिश्चित गर्छौं। यसको लागि हामी जुन मुख्य तरिका प्रयोग गर्छौं त्यो UN वर्ग...
थप हेर्नुहोस्
उच्च-शुद्धताको NIS ले विशेष रासायनिक पदार्थहरूको निर्माणमा महत्त्वपूर्ण भूमिका खेल्छ। यी विशेष रासायनिक पदार्थहरू धेरै कुराहरूमा प्रयोग गरिन्छन्, जस्तै औषधि, सुगन्ध र रङ्गहरू। यिनीहरू सुरक्षित रहनु र राम्रोसँग काम गर्नु आवश्यक छ, त्यसैले यिनीहरूको उत्पादन सावधानीपूर्ण रूपमा गर्नुपर्छ। सुरुले उच्च-शुद्धताको...
थप हेर्नुहोस्
सुरु एउटा कम्पनी हो जसले मानिसहरूका लागि चीजहरूलाई राम्रो र सुरक्षित बनाउने काम गर्छ। नियन्त्रित क्लोरिनीकरणमा, हामीसँग NCS भन्ने यो विशेष चीज छ। NCS ले हामीलाई क्लोरिन थप्न बुद्धिमानीपूर्ण र सावधानीपूर्ण तरिकाले सक्षम बनाउँछ। यो महत्त्वपूर्ण छ किनभने क्लोरिनले पानीलाई सफा र सुरक्षित राख्छ। यो...
थप हेर्नुहोस्
उच्च-शुद्धताको एन-ब्रोमोसक्सिनिमाइड, वा NBS, औषधि निर्माणमा महत्वपूर्ण भूमिका खेल्छ। NBS यो रासायनिक पदार्थ हो जसले अन्य पदार्थहरूमा ब्रोमिन थप्नमा सहयोग गर्छ। हामी यसलाई ब्रोमिनीकरण भन्छौं। उच्च-शुद्धताको NBS प्रयोग गर्दा तपाईंले अधिक शुद्ध उत्पादन प्राप्त गर्नुहुन्छ। शुद्ध रासायनिक पदार्थहरूले औषधिहरूको गुणस्तर र विश्वसनीयता सुनिश्चित गर्छन्...
थप हेर्नुहोस्
नमीसँगको सम्पर्कले एन-आयोडोसक्सिनिमाइडको उपस्थिति र कार्यप्रणाली दुवैमा परिवर्तन गर्न सक्छ। एन-आयोडोसक्सिनिमाइड एउटा रासायनिक पदार्थ हो जुन प्रयोगशालाहरू र कतिपय औद्योगिक उत्पादनहरूमा धेरै प्रयोग गरिन्छ। जब यो गीलो हुन्छ, यसको रङ्ग अँध्यारो हुन्छ र यसको चमकदार उपस्थिति गुमाउँछ। यो कुरा साथै...
थप हेर्नुहोस्
सुरु एउटा कम्पनी हो जुन औद्योगिक कार्यस्थलहरूलाई अझ बढी सुरक्षित बनाउनमा वास्तवमै ध्यान केन्द्रित गर्दछ। हामी जुन कुरा गर्छौं त्यो मध्ये एउटा कम धूलो फार्मुलेशनहरू प्रदान गर्नु हो। यी विशेष उत्पादनहरूले कार्यकर्ताहरूले सामग्रीहरूलाई हेरचाह गर्दा हावामा जाने धूलोलाई कम गर्न मद्दत गर्छन्। धूलो कारखानाहरूमा ठूलो समस्या हो...
थप हेर्नुहोस्