Ang pangangalaga sa isang swimming pool ay minsan ay isang mahirap na gawain. Karaniwang nababahala ang mga may-ari ng pool sa mga gastos at oras na kailangan upang panatilihin ang kalinisan at kaligtasan ng tubig. Ngunit may magandang balita! Ang paggamit ng DBDMH ay maaaring tumulong na bawasan ang oras at pera na ginagastos sa pangangalaga ng pool. Kasama ang brand na Suru, maaari kang makakuha ng cl...
TIGNAN PA
Ang NBS na sumusunod sa GMP, o ang N-Bromosuccinimide na sumusunod sa Good Manufacturing Practice, ay isang mahalagang kemikal na higit pa sa isang pangalan na may istilo. Mahalaga ito sa paggawa ng mga aktibong sangkap ng gamot, o API, na ang mga bahagi sa mga gamot na ito ang...
TIGNAN PA
Mahalaga talaga ang ligtas na pagdadala ng mga kargamento, lalo na ang mga panganib na kalakal. Sa Suru, tiyak naming inaasikaso ang walang problema na paglipat ng aming mga Non-Classified Substances (NCS) at Non-Biohazardous Substances (NBS). Isa sa pangunahing paraan kung paano namin ito ginagawa ay ang pagsunod sa UN Clas...
TIGNAN PA
Ang mataas na kalinisan ng NIS ay may mahalagang papel sa paglikha ng espesyal na mga kemikal. Ang mga espesyal na kemikal na ito ay ginagamit sa maraming bagay, tulad ng gamot, mga amoy, at mga kulay. Kailangan silang gawin nang maingat upang manatiling ligtas at epektibo. Ang Suru ay nakatuon sa pagbibigay ng mataas na kalinisan...
TIGNAN PA
Ang Suru ay isang kumpanya na gumagawa ng mga bagay upang gawin itong mas mabuti at ligtas para sa mga tao. Sa kontroladong chlorination, mayroon kami isang espesyal na sangkap na tinatawag na NCS. Ang NCS ay nagpapahintulot sa amin na magdagdag ng chlorine nang matalino at maingat. Mahalaga ito dahil ang chlorine ay nagpapanatili ng kalinisan at kaligtasan ng tubig. Ito...
TIGNAN PA
Ang mataas na kalinisan ng N-bromosuccinimide, o NBS, ay gumaganap ng mahalagang papel sa paggawa ng gamot. Ang NBS ay isang kemikal na tumutulong sa pagdaragdag ng bromine sa iba pang mga bagay. Tinatawag natin itong brominasyon. Ang paggamit ng NBS na may mataas na kalinisan ay nagbibigay ng mas malinis na produkto. Ang malinis na mga kemikal ay nagpapatiyak na ang mga gamot...
TIGNAN PA
Ang pagkakalantad sa kahalumigmigan ay maaaring magbago sa hitsura ng N-Iodosuccinimide at sa paraan ng pagkilos nito. Ang N-Iodosuccinimide ay kemikal na ginagamit ng mga tao sa mga laboratoryo at sa ilang mga produkto ng industriya. Kapag humadlang ito, ito'y nagiging madilim at nawawalan ng maliwanag na hitsura. Ang bagay na ito ay...
TIGNAN PA
Ang Suru ay isang kumpanya na talagang nagmamalasakit sa paggawa ng mga lugar ng trabaho sa industriya na mas ligtas. Isa sa mga bagay na ginagawa namin ay ang pagbibigay ng mga formula na may mababang alikabok. Ang mga espesyal na produktong ito ay tumutulong upang mabawasan ang alikabok na pumapasok sa hangin kapag kinokompwesto ng mga manggagawa ang mga materyales. Ang alikabok ay malaking problema sa factor...
TIGNAN PA
Ang N-Bromosuccinimide, o NBS para sa maikli, ay kemikal na madalas gamitin sa mga laboratoryo. May mga espesyal na katangian ito na ginagawang talagang kapaki-pakinabang. Ang isang magandang bagay tungkol sa NBS ay madaling linisin ito sa pamamagitan ng pag-re-crystallization. Kaya ang mga siyentipiko ay maaaring maging napaka...
TIGNAN PA
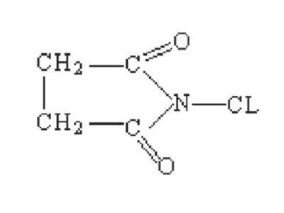
Ang mga reaksyong kimikal ay maaaring mahirap na pamahalaan, lalo na kapag nakikipag-ugnayan ka sa mga bagay tulad ng aldehydes at N-Chlorosuccinimide (NCS). Ang mga aldehyde ay mga organikong compound na minsan ay nagre-reakyon sa di-karaniwang paraan. Kapag sila ay nakipag-ugnayan sa NCS, maaaring masyadong malakas ang reaksyon at magdulot ng di-nais na ...
TIGNAN PA
Ang natitirang succinimide ay isang byproduct na maaaring magdulot ng problema sa industriyal na proseso ng paggawa, lalo na kapag ginagamit ang NBS. Karaniwang lumalabas ang problemang ito sa panahon ng mga hakbang sa aqueous workup, na kung saan ay mahalaga upang makamit ang mataas na kalidad na produkto. Sa Suru, lubos naming nauunawaan ang ...
TIGNAN PA
Ang N-Chlorosuccinimide ay isang mahalagang kemikal na ginagamit ng maraming tao sa iba't ibang industriya. Pareho ito ng anyo ng puting solid at tumutulong sa maraming gawain, lalo na sa mga laboratoryo at pabrika. Ngunit ito ay klasipikado bilang oxidizing solid ayon sa mga patakaran sa transportasyon ng UN. Kaya naman ito ay maaaring...
TIGNAN PA